اسلام آباد: معذورافراد کی مدد کے لیے سی ڈی اے مزدور یونین اور نیاز سپورٹ میں معاہدہ طے پاگیا۔
Share
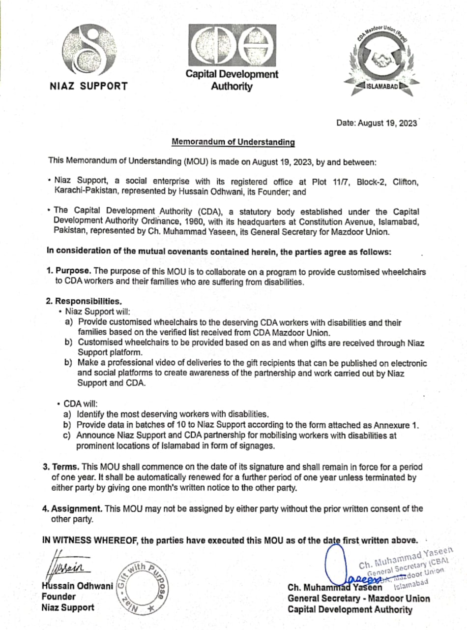
پاکستان میں معذور افراد کو مدد فراہم کر نے والے سماجی ادارے“نیاز سپورٹ ”اور سی ڈی اے مزدور یونین کے مابین معذور کارکنوں اور ان کے اہل خانہ کووہیل چیئرز فراہم کرنے کے لیے معاہدہ طے پایا ہے،ایم او یو پر نیاز سپورٹ کے بانی حسین اودھوانی اور جنرل سیکرٹری سی ڈی اے مزدور یونین و پاکستان ورکرز فیڈریشن چوہدری محمد یٰسین نے دستخط کئے،اس موقع پرنیاز سپورٹ کے بانی حسین اودھوانی نے کہاکہ ہم اپنے مستحق کارکنوں اور ان کے خاندانوں کو وہیل چیئرزفراہم کرنے کے لئے سی ڈی اے کے ساتھ شراکت پربہت خوش ہیں،یہ معاہدہ مستحق، نچلے اور متوسط طبقے کے خاندانوں کو متحرک کرنے اور ان کے گھروں میں نقل و حرکت اور خوشحالی لانے میں مدد فراہم کرے گا،سی ڈی اے مزدور یونین کے جنرل سیکرٹری چوہدری محمد یٰسین نے پاکستان میں معذور افراد کو متحرک کرنے کے لیے نیاز سپورٹ کی عظیم کوششوں کو سراہا اور حسین اودھوانی کی فراخدلانہ پیشکش کا شکریہ ادا کیا، انھوں نے کہاکہ یہ شراکت داری ہمارے کارکنوں کو معیاری خدمات فراہم کرنے کے ہمارے عزم کا ثبوت ہے، ہم نیاز سپورٹ کے تعاون کے شکر گزار ہیں اور اپنے معذور کارکنوں کی زندگیوں کو بہتر بنانے کے لئے ان کے ساتھ مل کر کام کرنے کے منتظر ہیں،وہیل چیئرز ہر وصول کنندہ کی مخصوص ضروریات کے مطابق بنائی جائیں گی اور مفت فراہم کی جائیں گی، یہ تعاون پاکستان میں معذور افراد کی زندگیوں کو بہتر بنانے کی جانب ایک اہم قدم ہے جو سب کو یکساں مواقع فراہم کرنے کے عزم کا منہ بولتا ثبوت ہے۔

